汽车贷款计算器,4S店贷款利息计算套路探讨
2023年5月20日,因有意向购车,遂走询多家4S门店,在围圆桌交流价格和支付意向时,销售师傅热情有洋溢的推荐:贷款吧!贷款优惠力度更大........,此时的师傅桃花满面,为此欣然接受这种氛围后把全款二字回流入海后在用“哦....”的表情道:麻烦列式算下,让我优惠的明明白白。
一、销售师傅的演算过程(一次还本付息法):
兹比如:贷20万 月利率3厘5 分5年即60个月
1、贷款5年的利息 20万*0.35*60个月=4.2万
2、贷款5年的还款总额(本息和) 20万+4.2万=24.2万
3、每月的月供 24.2万÷60个月=4033.33元
起初,认为计算的没毛病!没有理由反驳。
........
思量片刻后,觉察出问题,遂将反驳演算过程列出如下
二、我的演算过程(反驳理由)
已知条件同上
1、利息 20万*0.35*60个月=4.2万 √
2、贷款5年的还款总额(本息和) 20万+4.2万=24.2万 √
3、第一个月月供:(20万÷60个月)+(4.2万÷60个月)=4033.33元 √
4、第二个月:
A)还欠本金 【20万-(20万÷60个月)】=19.666667万元
B)还欠利息 19.666667万元*0.35*59个月=4.061167万元
C)第二个月月供应为 (19.666667万元÷59个月)+(4.061167万元÷59个月)=4021.67元
5、第三个月:
A)还欠本金 【19.666667万-(19.666667万元÷59个月)】=19.333334万元
B)还欠利息 19.333334万元*0.35*58个月=3.924667万元
C)第三个月月供应为 (19.333334万元÷58个月)+(3.924667万元÷58个月)=4010.元
...............以此类推
小结:从“一”和“二”对比得知,销售师傅的演算问题在于:没有考虑每月的月供中实际已经支付了一部分本金,而到下个月时也未将前期已经还的本金扣除。
三、快速正确的计算每月月供金额(等额本息)
已知条件同上
1、每月月供 20万×【0.35×(1+0.35)60】÷【(1+0.35)60-1】=3701.38元
2、贷款5年的还款总额(本息和) 3701.38元*60个月=22.2万元
3、贷款5年的利息 22.20828万元-20万元=2.2万元
4、与销售计算对比
A)贷款5年的利息息差值 2.2万元-4.2万元= -2万元 结论:多付了2万元
B)每月月供差值 3701.38元-4033.3元= -331.92元 结论:每月多付331.92元
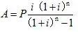
附月供公式(等额本息公式):每月月供公式
等值公式
A表示月供 P表示贷款额 i表示月利率(或者年利率) n表示贷款月期数(或者年期数)
四、总结
有人说销售师傅用的是等额本金计算方式,不准确;可以用贷款计算器计算出等额本金还款总额(本息和)是22.13万元,也不是销售师傅计算的24.2元,也多付了。
其实销售师傅的计算方式的适用于如下条件:贷款20万元,中间另何月份不支付金额,到第5年末一次还本付息,就是销售师傅算出还款总额(本息和)24.2万元。而销售师傅用一次还本付息方法计算出还款总额,又要求我们按等额本息(本金)还款方式每月还款;就像买车,整车购买是一个价,但是销售将整车零配件拆开单件算,那比整车买就贵了。没有卖错的商只有买错的人,简称商人。
哈哈 咱们青山不改,绿水长流,再会!
本文链接:http://sywcj.cn/dk/12926.html
版权声明:本文内容由互联网用户自行发布,该文观点仅代表作者本人。本站仅提供信息存储空间服务,不拥有所有权,不承担相关法律责任。如发现本站有涉嫌抄袭侵权/违法违规的内容, 请联系qq:1442716096举报,一经查实,本站将立刻删除。
