多城首套房贷利率降到2字头,公积金贷款利率是否也会调整?
今年以来,5年期以上LPR已累计下降了60个基点,最新房贷利率已经降低到了平均3.2%水平,甚至有城市首套房贷利率降到2字头。记者查阅,目前广州、南京、苏州、福州、太原、佛山、武汉这些城市的首套房贷利率已经接近或者低于公积金贷款利率,但全国大部分城市的公积金利率依然低于商贷利率。
从今日(11月1日)起实施存量房贷利率调整新机制,业界对2025年LPR走势进行分析预测,LPR有进一步下调的动力,公积金贷款利率是否也会调整?
多城首套房贷利率降到2字头
房贷利率出现“倒挂”现象
六大银行发布公告,从11月1日起实施存量房贷利率调整新机制,可更改重定价周期,明确加点值调整规则。商业贷款借款人可灵活享受到最新的利率下调政策。近年来,在宽松楼市政策下,商贷利率全面跟随LPR下调,很多城市的首套房贷利率步入“2字头”。
记者了解到,东莞、苏州首套商贷利率调整后已低至2.7%。此外,南京、青岛、杭州和长沙等地,首套商贷利率最低值均为2.9%。对比不断下调的商业贷款利率,目前各地首套个人住房公积金贷款2024年以来仅调整一次,而大部分其利率5年以上基本是2.85%。如今房贷利率出现了“倒挂”现象?
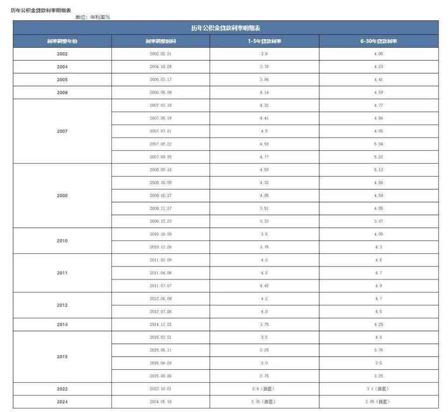
历年公积金贷款利率明细表
记者查阅,从实际情况来看,目前广州、南京、苏州、福州、太原、佛山、武汉这些城市的首套房贷利率已经接近或者低于公积金贷款利率,形成倒挂现象。
以广州为例,广州多家银行,包括交行等国有大行,招行、光大等股份制银行新发放的首套商业性个人住房贷款利率均为2.85%,与公积金首套利率对齐。
从全国来看,公积金出现倒挂并不是普遍现象,全国大部分城市的公积金利率依然低于商贷利率,基本在3.0%左右,比公积金高0.1-0.3个百分点。值得注意的是,相关部门已经注意到此现象,广州监管机构确认最低房贷商贷利率最低只能办到2.85%,不能低于公积金贷款利率。
为什么不能出现房贷利率“倒挂”现象?
“商贷利率和公积金利率需要有一定的差距,这是住房公积金的定位决定的。”西南财经大学经济学教授刘璐表示,公积金贷款是具有普惠性金融属性,在促进住房市场稳定和减轻购房者负担方面发挥了重要作用。住房公积金主要是长期稳定的政策性住房资金,是政策性住房金融体系建立的基础之一,同时住房公积金作为一种政策性、定向使用的个人住房储金,建立了职工自我保障机制,购房时享受政策性贷款的利率优惠。“住房公积金贷款要长期稳定地发挥稳定楼市的作用,保持与商业贷款之间的利差是有一定必要的。”
如果出现房贷利率“倒挂”现象会产生什么影响?不仅是公积金贷款普惠性金融的属性有所削弱,倒挂还会导致公积金存在底层逻辑发生动摇。如果公积金贷款失去优势,购房者转向商贷,将直接影响住房公积金的缴存金额,还会引起转贷、提前还贷的现象。
“目前部分城市首套房的房贷利率接近2.85%的公积金利率,商贷利率持续降息,低利率、低成本的公积金贷款在部分城市就失去优势。”北京房地产商会会长黎乃超表示,商贷与公积金贷款利差缩小,对于首次购房者而言,再没有选择公积金贷款的理由了。
公积金贷款利率是否也会调整?
越来越多的购房者提问,公积金贷款利率是否会如LPR般多次调整?
“当前的公积金利率的调整窗口不与LPR挂钩,而公积金贷款利率的调整涉及多个环节。”公积金相关从业人员向记者解释,利率调整需要考虑公积金管理中心的资金状况、政策导向以及市场利率走势等,并兼顾公积金管理中心的运营成本和风险控制。目前,全国的公积金由分布在各个地级市、县的公积金中心自行管理,因城施策,彼此不通,资金无法统一运营。
房贷利率走势图
不过,值得注意的是,目前业内对2025年LPR走势的预测显示,为了促进房地产市场止跌回稳,LPR仍有进一步下调的动力。如果商贷利率的进一步下调,未来公积金贷款利率调整有没有可能跟进呢?
“如果全国大部分城市的商业贷款继续下调,为了保持公积金贷款的竞争力,未来有必要调降公积金贷款利率。”广东住房政策研究中心首席研究员李宇嘉表示,调降公积金贷款利率可以拉开与商贷的利差,发挥公积金贷款的保障性优势,保持对较低收入职工购房需求的支持力度。“至少要保持和商业性贷款利率一个百分点的差距。”李宇嘉表示。
在黎乃超看来,公积金贷款利率的调整也是复苏房地产市场工具箱中还未拿出的工具之一,未来调整公积金贷款利率的可能性较大,这有助于房地产市场实现贷款消化、定价科学、关系有序的目标。但多位业界人士表示,公积金贷款利率的调整也需要考虑多方面因素,如资金规模、市场需求、政策导向等。
(封面新闻)
本文链接:http://sywcj.cn/rm/13488.html
版权声明:本文内容由互联网用户自行发布,该文观点仅代表作者本人。本站仅提供信息存储空间服务,不拥有所有权,不承担相关法律责任。如发现本站有涉嫌抄袭侵权/违法违规的内容, 请联系qq:1442716096举报,一经查实,本站将立刻删除。
