股票贝塔系数怎么计算,资产(组合)系统风险度量(理论)
β系数也称为贝塔系数(Beta coefficient),用来衡量个别股票或股票基金相对于整个股市的价格波动情况,源于资本资产定价模型(CAPM,1964年,威廉·夏普(William Sharp)根据投资组合理论提出),是特定资产(或资产组合)系统风险的度量。是一种评估证券系统性风险的工具,用以度量一种证券或一个投资组合相对总体市场的波动性。
一、初步认知
贝塔系数是度量一项资产(组)系统风险的指标。反映的是一种证券或一个投资组合相对于大盘(市场组合)的波动情况,是某个资产的收益率与市场组合收益率的相关性。对股票而言,β 值越高,意味着股票相对于大盘波动性越大。通常完全市场组合(大盘指数,市场平均风险)的β 值等于1,如果某个股票的β 大于 1 ,则该股票的波动性大于市场的平均波动性。反之亦然。 如果是负值,则其变化的方向与大盘的变化方向相反,大盘涨的时候它跌,大盘跌的时候它涨。
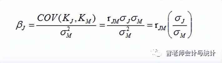
贝塔系数计算公式如下(推导过程略,不清楚的请查阅统计学教材):
从公式中可知,一种股票的β 值的大小取决于:
(1)该股票与整个股票市场的相关性;
(2)它自身的标准差;
(3)整个市场的标准差。
二、进一步认知
贝塔系数用来度量某资产的系统风险,那么什么是系统风险呢?
所谓系统风险,是指资产受宏观经济、市场情绪等因素影响而发生的价格波动,换句话说,就是股票与大盘之间的连动性。与系统风险相对的就是个别风险,即由公司自身因素所导致的价格波动。
总风险=系统风险+个别风险=不可分散风险+可分散风险
(1)β>1,说明该单项资产的风险收益率高于市场组合平均风险收益率,则该单项资产的风险大于整个市场投资组合的风险;
(2)β=1,表示该单项资产的风险收益率与市场组合平均风险收益率相当,其风险情况与市场投资组合的风险情况基本一致;
(3)β<1,说明该单项资产的风险收益率小于市场组合平均风险收益率,则该单项资产的风险程度小于整个市场投资组合的风险。
三、贝塔系数的作用
贝塔系数的主要用途是在证券市场上。通过某个股票与大盘的相关性(股性)来选股。
贝塔系数反映了个股对市场(或大盘)变化的敏感性,也就是个股与大盘的相关性或通俗说的股性。根据市场走势预测选择不同的贝塔系数的证券从而获得额外收益,特别适合作波段操作使用。当有很大把握预测到一个大牛市或大盘某个上涨阶段的到来时,应该选择那些高贝塔系数的证券,它将成倍地放大市场收益率,为你带来高额的收益;相反在一个熊市到来或大盘某个下跌阶段到来时,你应该调整投资结构,选择那些低贝塔系数的证券以抵御市场风险,避免损失。
有关投资组合的风险,我在“37 投资组合风险计量(理论基础)”中,已经做其做了详细说明。
如果要分散风险,通常可以选购多只股票进行投资。如果要分散风险,尽量选择不相关的股票投资(相关系数小的股票组合)。如果追求高收益,就要选择那些贝塔系数相同或者相近的股票进行组合投资(相关系数大的股票组合)。反之,如果跌了,则这种组合跌的也很大。
四、贝塔系数的计算
计算方法常有两种:
第一种:回归直线法;市场组合收益率(x),某股票收益率(y),回归直线的斜率。
第二种:按定义计算。根据定义式直接计算即可。
计算β系数需要计算出市场平均收益率,通常只能利用历史数据。股票交易数据可以是按日、按周、按月。选取不同时间间隔点上的交易数据,可能会对β系数的计算结果产生影响。例如,如果对上证综指分别按周和按月计算指数收益率,得出的收益率在不同单位时段情形下会有不同的β系数(可以通过我后面附的程序自己去检验)。
因此,在计算贝塔系数之前,需要首先弄清楚下面几个问题。
(1)市场平均收益率Rm通常采用证券市场的某一指数的收益率。目前,我国的证券市场指数有多种,包括上证综合指数、深证综合指数、沪深3指数、深证成份指数、上证指数、上证180指数、深证指数等。各指数所代表的证券及编制的方法是有区别的。计算前要确定采用哪种市场指数作为市场平均收益率计算的基础。
(2)时间跨度的选择问题。采用较长时间跨度的数据,可以用过去几年的数据来计算市场平均收益率,期间虽然可能包括了经济周期的波动周期,但时段过长,企业经营的变化、市场环境发生变化、技术革新、竞争格局的变化、企业间的兼并重组或者收购等行为以及证券市场特征的变化等都有可能影响β系数的计算结果。一般认为,最佳的计算时段为4-6年。
(3)用日收益率,周收益率还是月收益率年收益率。
国外大多数的研究人员认为β系数计算应该采用月收益率。
如果采用日收益率,虽然会增多许多观察值,但会引起诸如非同步交易等问题。哈瓦威尼、科拉多和沙茨伯格(Hawawini,Corrado an Schatzberg,1991)的研究指出:如果使用日收益率资料计算β,由于收益率分布相对于正态分布呈宽尾状,最小二乘法估计法可能无效。我国学者吴世农检验了1992年6月-1994年12月间在上海、深圳两个交易所的20种股票交易日收益的统计分布,结果表明上交所的12种股票日收益率的频率分布都明显地不属于正态分布,但深交所的8种股票中有6种股票日收益率的频率分布近似于正态分布。徐迪和吴世农(21)应用赫斯特指数检验,结果表明当前中国证券市场的日收益率趋于非正态分布。因此,收益率的单位计算时段的不同将可能导致收益率的频率分布不同,从而使因β系数计算结果也不相同。
(4)用算数平均说还是用几何平均数。算数平均数很简单就是计算期内收益率的平均值。几何平均数就是基于复利理念下的指数增长率。有的课本或者参考书上叫做复合收益率。
就我的理解而言,我更倾向于用几何平均数计算收益率,因为它与财务管理中的复利的理念更切合,能更好地预测长期的风险溢价。
如果头条平台的“代码块”功能恢复使用,下一篇文章将给出β系数的python计算程序。
【仅供参考】
授人玫瑰,手留余香!
请关注本公众号,更多内容持续发布!
欢迎转发!鼓励分享!
本文链接:http://sywcj.cn/gp/13554.html
版权声明:本文内容由互联网用户自行发布,该文观点仅代表作者本人。本站仅提供信息存储空间服务,不拥有所有权,不承担相关法律责任。如发现本站有涉嫌抄袭侵权/违法违规的内容, 请联系qq:1442716096举报,一经查实,本站将立刻删除。
